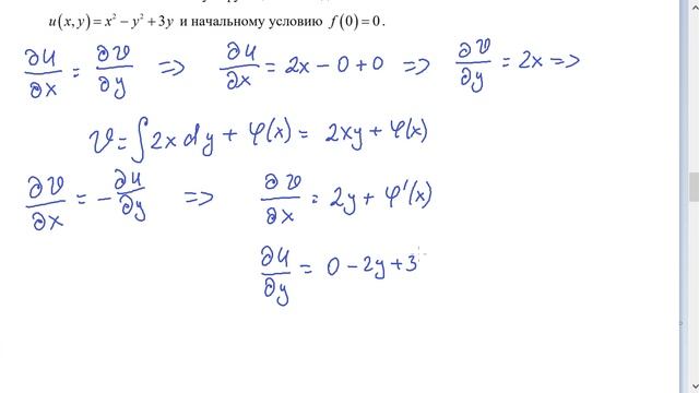
ТФКП
Разбор КР по ТФКП, ГУП Мой канал в ТГ: https://t.me/AboutMathematics
Разбор КР по ТФКП, ГУП Мой канал в ТГ: https://t.me/AboutMathematics
Разбор КР по ТФКП, ГУП Мой канал в ТГ: https://t.me/AboutMathematics
Разбор КР по ТФКП, ГУП Мой канал в ТГ: https://t.me/AboutMathematics