Расстояние между параллельными прямыми

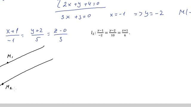
Разбор задачи о вычислении расстояния между параллельными прямыми (КР2) Мой канал в ТГ: https://t.me/AboutMathematics

12+
264 просмотра
5 месяцев назад
12+
264 просмотра
5 месяцев назад

Разбор задачи о вычислении расстояния между параллельными прямыми (КР2) Мой канал в ТГ: https://t.me/AboutMathematics

, чтобы оставлять комментарии