МА1 Разбор заданий билета

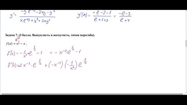
Разбор примерного билета по МА1 на одном из семинаров. МИРЭА, 24.12.25, 6 пара Мой канал в ТГ: https://t.me/AboutMathematics

12+
336 просмотров
4 месяца назад
12+
336 просмотров
4 месяца назад

Разбор примерного билета по МА1 на одном из семинаров. МИРЭА, 24.12.25, 6 пара Мой канал в ТГ: https://t.me/AboutMathematics

, чтобы оставлять комментарии