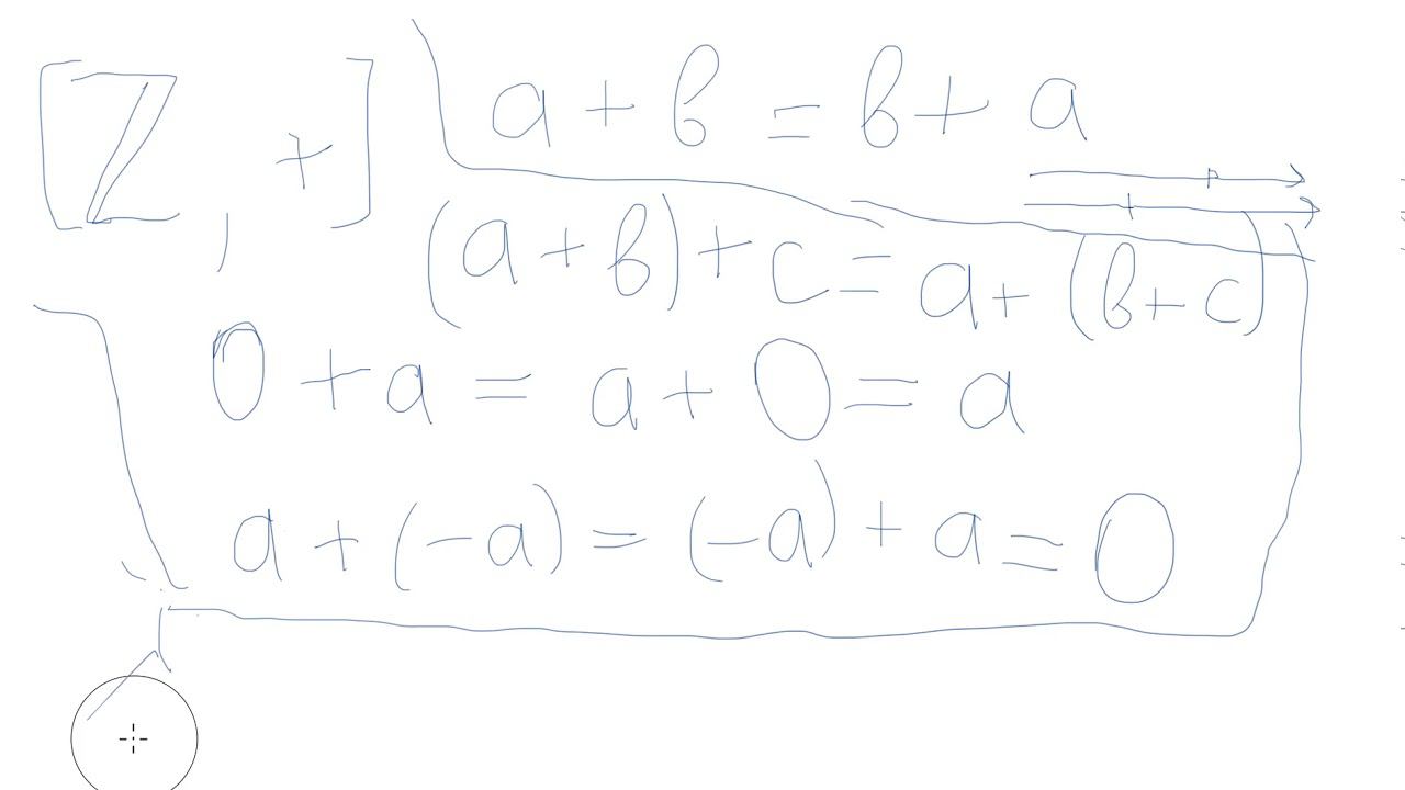
03 Что такое группа

"ПАНМАТЕМАТИКА" — вся математика от Алексея Савватеева Плейлист: https://www.youtube.com/playlist?list=PLH3NNipqeM1vPZjcwzi0hyhdgc7jdyBOv Поддержи выход новых уроков, стань патроном: https://patreon.com/savvateev

Иконка канала Маткульт-привет!
1 983 подписчика
12+
9 просмотров
6 лет назад
12+
9 просмотров
6 лет назад

"ПАНМАТЕМАТИКА" — вся математика от Алексея Савватеева Плейлист: https://www.youtube.com/playlist?list=PLH3NNipqeM1vPZjcwzi0hyhdgc7jdyBOv Поддержи выход новых уроков, стань патроном: https://patreon.com/savvateev

, чтобы оставлять комментарии