Формула, связывающая количество простых до (N) и число разложений ( N ) в сумму двух простых.#maths
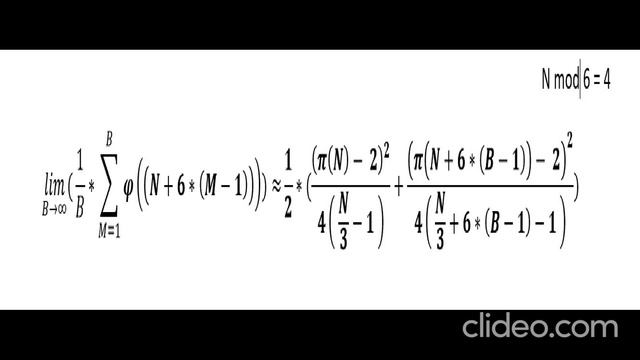
Здравствуйте. Представляю вашему вниманию . Формула, связывающая количество простых до ( N ) и число разложений ( N ) в сумму двух простых. Формулы, связанные с гипотезой Гольбаха #математика.#теория чисел #Гольбах #mathematics
Здравствуйте. Представляю вашему вниманию . Формула, связывающая количество простых до ( N ) и число разложений ( N ) в сумму двух простых. Формулы, связанные с гипотезой Гольбаха #математика.#теория чисел #Гольбах #mathematics
