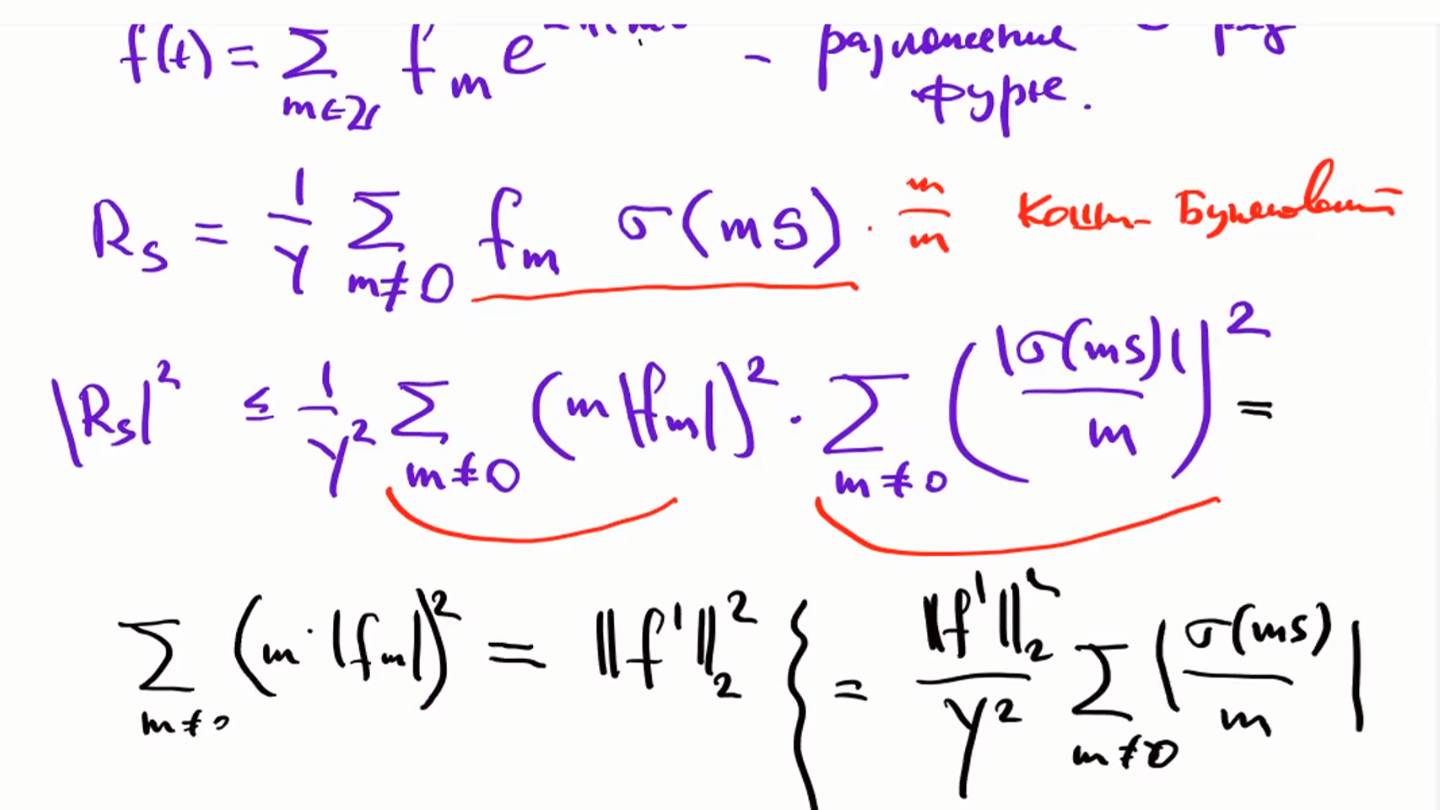
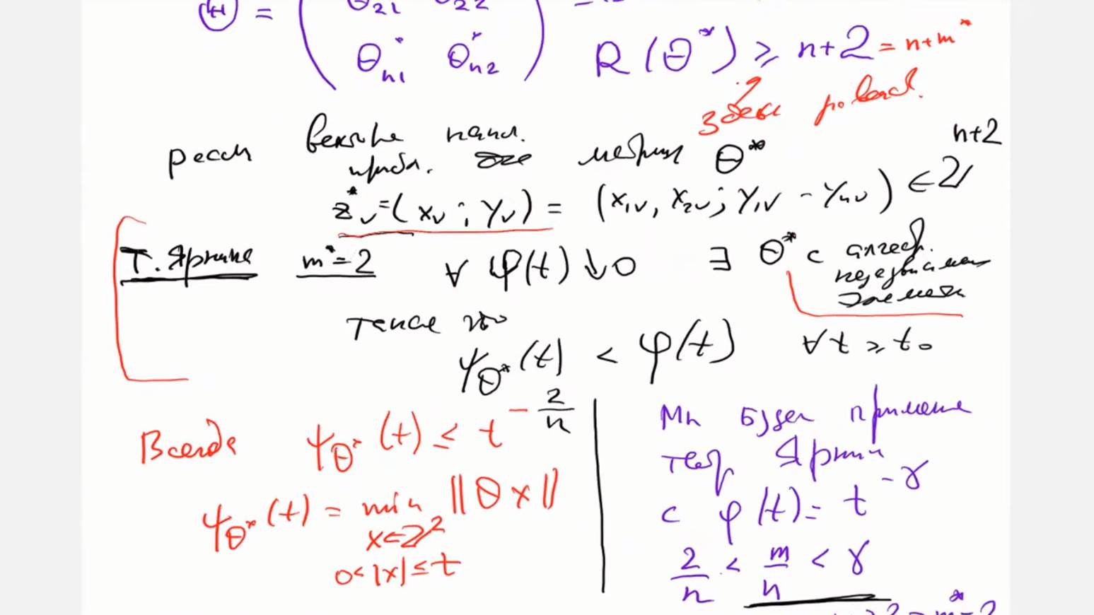
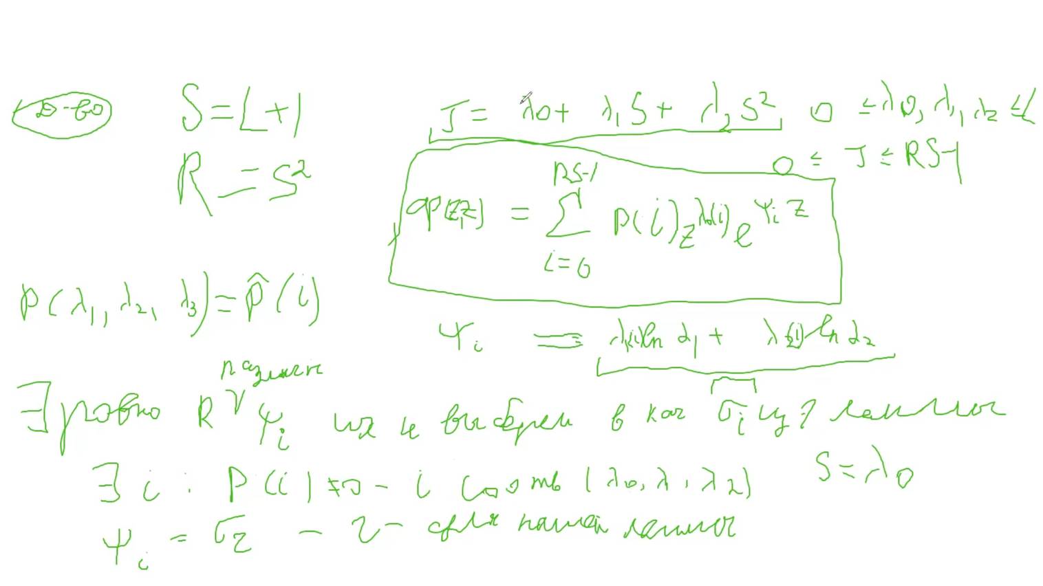
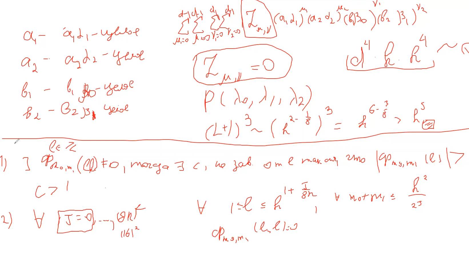
12+1:02:14Задачи теории Диофантовых Приближений, Лекция 14, часть 1, Н.Г. Мощевитин7просмотров2 года назад
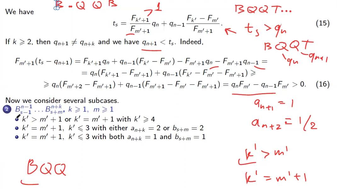
12+1:14:49Задачи теории Диофантовых Приближений, Семинар 14, Антон Шутов, теорема о трех расстояниях16просмотров2 года назад
12+23:24Задачи теории Диофантовых Приближений, Лекция 14, часть 2, Н.Г. Мощевитин8просмотров2 года назад
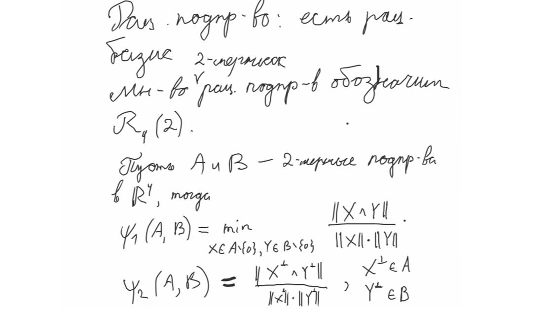
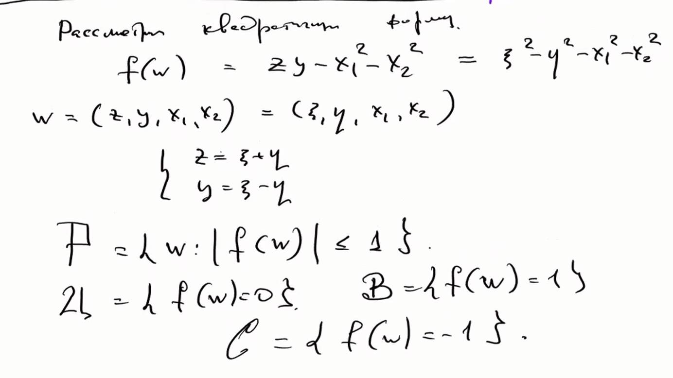
12+2:03:34О функциях меры иррациональности двух чисел, Семинар 12, Рудых Шульга4просмотра2 года назад
12+1:54:18Задачи теории Диофантовых Приближений, Лекция 13, часть 1, Н.Г. Мощевитин5просмотров2 года назад
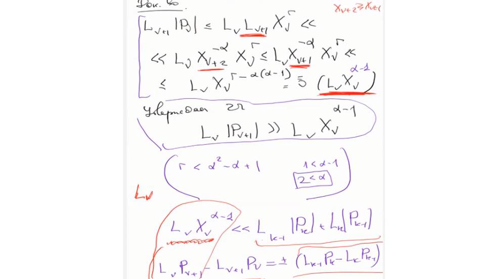
12+1:43:44Задачи теории Диофантовых Приближений, лекция 9 (продолжение), Н.Г.Мощевитин3просмотра2 года назад
12+48:56Задачи тоерии Диофантовых Приближений, Лекция 13, часть 2, Н.Г. Мощевитин4просмотра2 года назад
12+09:20Задачи теории Диофантовых Приближений, Лекция 9 (начало), Н.Г.Мощевитн7просмотров2 года назад