12+1:10:03Теорема о нескольких расстояниях в многомерном случае, Алексей Глазырин17просмотров2 года назад
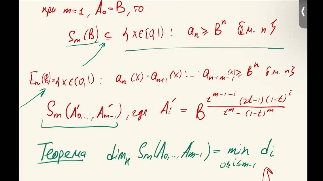
12+1:43:01О Хаусдорфовой размерности в некоторых задачах, связанных с цепными дробями, часть 2, Никита Шульга5просмотров2 года назад